合作客戶/
拜耳公司 |
同濟大學 |
聯合大學 |
美國保潔 |
美國強生 |
瑞士羅氏 |
相關新聞Info
推薦新聞Info
-
> 不同礦漿濃度、粒度、伴生礦物、捕收劑和起泡劑對礦漿表面張力的影響(三)
> 不同礦漿濃度、粒度、伴生礦物、捕收劑和起泡劑對礦漿表面張力的影響(二)
> 不同礦漿濃度、粒度、伴生礦物、捕收劑和起泡劑對礦漿表面張力的影響(一)
> 長慶油田隴東地區的CQZP-1助排劑表/界面張力測量及現場應用(三)
> 長慶油田隴東地區的CQZP-1助排劑表/界面張力測量及現場應用(二)
> 長慶油田隴東地區的CQZP-1助排劑表/界面張力測量及現場應用(一)
> 液膜斷裂點與電壓最大值在表面張力測量中的對比研究(二)
> 液膜斷裂點與電壓最大值在表面張力測量中的對比研究(一)
> ?表面張力與表面張力系數測量:概念、方法與科學意義
> 微重力下二極對非均勻旋轉磁場控制半浮區液橋表面張力對流的數值研究(下)
粉末涂料固化過程中的表面張力變化規律與測試方法
來源:粉末登場 瀏覽 2516 次 發布時間:2023-03-28
摘要:表面張力在粉末涂料的固化過程中起著至關重要的作用,關系到其對底材的浸潤和附著力、涂層的表觀性能及缺陷控制等。而粉末涂料在固化過程中的表面張力如何變化?可行的測試方法有哪些?目前還沒發現此方面的研究報道。本文綜述介紹了粉末涂料對鋁合金鈦鋯膜底材的浸潤規律和含固化劑的樹脂凝膠前后表面張力的測試方法及變化規律,為下一步研究粉末涂料固化過程中表面張力的變化提供了可能的參考方法。
1、引言
界面是粉末涂料與底材最為主要的微結構,起到連接增強相和基體、傳遞應力等作用,復合材料的界面特性由粉末涂料與底材粘結強度的高低決定。
而獲得高強度粘結的先決條件是粉末涂料對底材的良好浸潤性,二者之間浸潤性又與粉末涂料的表面張力密切相關。
不同類型及不同固化速度的粉末涂料混合后會導致涂膜失光、縮孔等表面缺陷,這類缺陷的產生均與涂膜的表面張力變化有關。
因此,研究粉末涂料對底材的浸潤規律及固化過程中的表面張力的變化,對揭示界面形成機制和提高涂膜性能有重要的參考價值。
2、表面張力的測定
2.1懸滴法
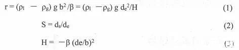
懸滴法利用選面法確定懸滴外形參數間接計算測試液體表面張力及其色散、極性分量,具有完全平衡的優點,但此方法難于保持懸滴穩定不變和防止振動,以下是其計算公式:
式中:ρ1、ρg分別為液相和氣相的密度;r為液體的表面張力;de為懸滴外形的最大直徑;ds是與懸滴底部頂點O的垂直距離等于de處的直徑,1/H-S關系表可查。
2.2吊片法
吊片法利用打毛的鉑片,測定從液體表面拖拉吊片時液體對吊片的最大拉力(即潤濕張力),具有完全平衡的特點。
此方法操作簡單,不需要被測液體密度數據,但需要液體很好潤濕吊片,以保證接觸角為零。根據平衡條件,可以得到
式中:P為吊片的周長;r為液體的表面張力;M為吊片的重量;Fb為吊片所受浮力;Fv為液體對樣品施加的黏滯力。
2.3固體表面能的測定
目前,液體表面張力可直接測試得到,但固體的表面能只能利用座滴法或吊片法測試小分子液體與固體表面的接觸角,再依照OWRK理論對數據進行分析計算,間接得到固體表面能。
2.3.1 OWRK理論
OWRK理論將液體的表面張力和固體的表面能分別分解為獨立的色散分量和極性分量,固液兩接觸相間的界面張力滿足如下公式:
式中:rl、rld、rlp分別為液體表面張力、液體表面張力色散分量和極性分量;rs、rsd、rsp分別為固體表面能、固體表面能色散分量和極性分量;為液體與固體的接觸角。
3、粉末涂料固化過程
粉末涂料通過靜電噴涂以粉末狀態吸附在被涂物上面,在一定溫度下經過顆粒結聚、熔融鋪展及流平、固化后成膜。
將粉末涂料固化過程大致分為凝膠前和凝膠后兩個階段,凝膠前涂料體系為液體,可以通過吊片法測得體系表面張力,凝膠后體系為固體,固體的表面能利用座滴法間接測量。
3.1粉末涂料凝膠前不同時刻的接觸角
研究粉末涂料對底材的浸潤性,主要是通過氣、液、固三相界面處的接觸角的大小來表征,當θ>90°表示液體不能浸潤固體表面;當θ<90°表示液體能潤濕固體表面;當θ=0°即cosθ=1表示液體能完全潤濕固體表面。
楊雲予等人利用接觸角測量儀在恒溫180℃下,拍出了不同時刻圓柱狀粉末涂料在鋁合金鈦鋯膜上的熔融和鋪展過程圖,并記錄了的潤濕角,為研究粉末涂料固化過程中,凝膠前的接觸角變化提供了依據。
如圖1所示,從涂料的形態上看,粉末在烘烤過程中的0~1.5min,涂料顆粒開始熔融、結聚,發生最大程度的膨脹趨勢。
而從1.5~4min,涂料的體積開始逐漸收縮,在鋁合金鈦鋯膜表面形成一層表面張力局部均勻的分子層,此時處于流平階段,4min以后,涂料體積收縮得更小,在鋁合金表面鋪展程度更大,到7min,涂料達到穩態,不再發生改變。
一直到烘烤結束的這段時間,是涂料開始固化的時間,內部的環氧樹脂與固化劑間發生交聯固化反應,從而形成均勻且附著力良好的有機涂層。
由圖2可知,環氧樹脂粉末涂料在熔融鋪展過程中的對鈦鋯膜的潤濕角整體呈降低趨勢,潤濕角由1.5min時的136°逐步降低至流平終點的74.6°。
這說明環氧樹脂粉末涂料對鈦鋯膜的潤濕性良好,能夠自發地在涂層表面進行鋪展,且涂層具有良好的附著力。
3.2含固化劑樹脂凝膠前的表面張力
鄧銳用吊片法測試了含固化劑的氰酸酯樹脂體系在恒定溫度120℃下固化過程中表面張力隨時間的變化規律,如下圖所示。
從圖3中,我們可以看到含固化劑的氰酸酯樹脂體系在恒溫溫度120℃下表面張力變化關系為線性增加段和表面張力突降段。
作者認為在較長的未固化的時間段內,樹脂表面張力呈線性增加,可能是由于局部官能團反應使體系相變,表面能變化較大導致的表面能增加。
而凝膠點后的樹脂體系由凝膠化變為玻璃化,傳統測試液體的方法已經不能測出其表面張力,因此凝膠后樹脂的表面張力必須以測固體表面能的方法測得。
3.3凝膠后固體樹脂表面張力的測定
馬全勝利用座滴法間接測試凝膠后固態樹脂的表面能,為研究粉末涂料凝膠后固態表面能測試提供了一種測試方法。
具體方法是將小分子液體滴到固體樹脂表面,利用視屏方法在線測試小分子液體與樹脂片之間的接觸角,按照OWRK等理論對數據進行分析,計算固體的總的表面能,及其極性分量與色散分量。
表2為實驗所用小分子液體的表面張力及極性、色散分量,表3為環氧618-咪唑體系70℃不同固化時刻下的樹脂體系與小分子液體的接觸角。
根據表3測得的接觸角,經OWRK理論分析,得到環氧618一咪唑體系在70℃恒溫固化不同時刻的總表面能和色散與極性分量如圖4、圖5所示。
從圖可以看出,凝膠后環氧618一咪唑體系總表面能隨固化時間的延長呈近似線性下降趨勢,總表面能中,色散分量占比較大而極性分量占比較小。
色散分量除135min固化時刻為25mJ/m2外,其他時間基本穩定,而極性分量則呈現出比較明顯的下降趨勢。
為了更好分析樹脂體系固化過程中表面能變化影響因素,作者分別對0、150、25Omin的環氧618-咪唑體系的試樣進行紅外光譜輔助實驗。
通過實驗發現羥基(3490cm-1吸收帶)在固化反應25Omin時較固化反應150min時減弱,且環氧基(913cm-1吸收峰)在一定程度上也有所降低。
作者認為分子中的羥基吸收帶減弱的原因是隨著反應的進行,羥基參與了醚化聚合反應成鏈,從而導致羥基基團減少。
因此作者推斷環氧618-咪唑體系固化反應120min之后表面能極性分量的降低是由于羥基關能團和環氧官能團的變化引起。
馬全勝通過研究恒溫固化過程中環氧樹脂體系凝膠后表面能的的變化規律,結合固化機制和反應特性,分析環氧618-咪唑體系表面能的色散分量、極性分量的變化。
研究結果對掌握環氧樹脂基復合材料固化過程、揭示界面形成機制具有重要意義,同時也為粉末涂料凝膠后表面張力的變化提供了研究方法。
4、結束語
表面張力在粉末涂料熔融、流平過程中及固化膜與底材的附著力方面有著重要作用,掌握固化過程中不同階段表面張力的測試方法并獲得粉末涂料固化過程中表面張力變化,對提高粉末涂料涂膜的附著力及避免固化過程涂膜表面缺陷的產生具有重要意義。





