合作客戶/
拜耳公司 |
同濟大學 |
聯合大學 |
美國保潔 |
美國強生 |
瑞士羅氏 |
相關新聞Info
推薦新聞Info
-
> 不同礦漿濃度、粒度、伴生礦物、捕收劑和起泡劑對礦漿表面張力的影響(三)
> 不同礦漿濃度、粒度、伴生礦物、捕收劑和起泡劑對礦漿表面張力的影響(二)
> 不同礦漿濃度、粒度、伴生礦物、捕收劑和起泡劑對礦漿表面張力的影響(一)
> 長慶油田隴東地區的CQZP-1助排劑表/界面張力測量及現場應用(三)
> 長慶油田隴東地區的CQZP-1助排劑表/界面張力測量及現場應用(二)
> 長慶油田隴東地區的CQZP-1助排劑表/界面張力測量及現場應用(一)
> 液膜斷裂點與電壓最大值在表面張力測量中的對比研究(二)
> 液膜斷裂點與電壓最大值在表面張力測量中的對比研究(一)
> ?表面張力與表面張力系數測量:概念、方法與科學意義
> 微重力下二極對非均勻旋轉磁場控制半浮區液橋表面張力對流的數值研究(下)
二糖類的雙子表面活性劑性質研究:結果和討論、結論、致謝!
來源:上海謂載 瀏覽 1975 次 發布時間:2022-02-24
結果和討論
方案2和方案3以及實驗部分詳述了我們獲得A系列和B系列海藻糖雙子的方法。另外幾條評論有助于美化這一信息。B型海藻糖雙子最明顯的先驗途徑是用長鏈叔胺直接取代2的甲苯磺酰化基團。盡管沿著這些路線進行了多次嘗試,但只獲得了分解產物或起始材料。然而,如方案2所示,我們成功地用疊氮化合物取代了2的兩個甲苯磺酰化物,得到了3。此處采用文獻程序28,但出于安全考慮,HMPA被DMPU取代作為溶劑。然后,雙疊氮化物3經過Staudinger反應25,29,在一個步驟中得到長鏈雙酰胺4a-g,而該長鏈雙酰胺4a-g只需脫保護即可獲得a系列雙子。在方案3中,脫保護糖5的疊氮化物還原將化合物轉化為二伯胺鹽酸鹽6。長鏈醛與6和吡啶硼烷絡合物30的還原胺化得到海藻糖衍生物7。使用NaBH3-CN作為還原劑,該反應的產率很低。在用甲基碘化物將7甲基化,然后進行離子交換(以促進純化和提高溶解性)之后,我們得到了B系列海藻糖雙子。
必須時刻警惕雜質的存在及其對表面活性劑性質的實質性影響。(可以說,膠體化學家中永遠存在不純的思想。)在我們的案例中,方案2中的前體4a-g在脫保護到最終的A系列雙子之前通過柱層析純化。后者通過1H和13C NMR、高分辨率FAB-MS和元素分析進行了表征。在大多數情況下,C、H和N的實驗百分比與理論一致,優于0.30%的絕對值。對于兩個系列B雙子,在C、H、N和Cl元素分析中也發現了類似的良好一致性。表面張力數據從未顯示出雜質的特殊“下降”。
A系列海藻糖雙子座
我們的第一個驚喜是發現A系列海藻糖雙子座不溶于水。例如,A-12、A-14和A-16(指鏈長的數字)在1毫升溫水中旋轉2毫克時會留下沉淀物。即使在70°C的溫度下,A-10也會在這種處理過程中形成渾濁的懸浮液。A-8在室溫下的可溶濃度僅為1-2 mM(根據動態光散射,在該濃度下,會形成膠束大小的聚集體)。天真地說,人們可能會認為a-8的溶解度大得多,因為該分子由六個羥基和兩個酰胺組成。盡管相關的6-氨基-6-脫氧己糖衍生物需要加熱才能溶解,25許多烷基化單糖(例如,辛基葡萄糖苷和甲基6-O-(N-庚基羰基)-R-D-吡喃葡萄糖苷或下面的“Hecameg”)是水溶性的。然而,A-8并沒有類似的天賦。這里的教訓是,用一句老生常談的話來說,我們的雙子座比其各個部分的總和要多(或少)。不管老生常談與否,雙子座的獨特屬性都取決于它。
溶解度是一個常見且經常被忽略的參數,難以測量,甚至更難理解。由于強大的晶體力,固體可能不溶于水,即使有X射線數據,晶體力的性質也常常模糊不清。在我們的例子中,含有酰胺的分子內和分子間氫鍵可能有助于固態的熱力學穩定性。不溶性也可能源于溶液中不利的溶劑化和聚集效應。A系列海藻糖雙子可能會抵抗溶解,因為它們無法以與相應單鏈段可能的方式形成親水膠束聚集體。當考慮到雙子座的兩條鏈位于雙糖的遠端,分子內鏈/鏈相互作用部分受損時,這種推測就變得可信了。鏈關聯的主題將在后面討論。
A系列海藻糖雙子的水不溶性使我們能夠將其作為單分子膜放置在水亞相上。31-33借助表面天平,雙子座單分子膜被可移動屏障緩慢壓縮,在此過程中,監測膜壓力和面積。由此產生的“壓力-面積等溫線”揭示了雙子分子在單分子膜中的堆積行為。圖1中給出了A-12和A-18的代表性等溫線,其中縱坐標是施加在單層上的表面壓力(單位為mN/m或達因/cm),而橫坐標是在給定壓力下膜中每個分子的面積(單位為?2)。
圖1顯示了約120?2的A-12和A-18(以及此處未繪制的中間鏈長度)的剝離區域(即,由于分子間接觸,等溫線偏離基線的區域)。通過校準,烷基糖苷的平均面積為49?2,34,35,而烴鏈的分子橫截面約為20?2。33圖l由A-12和A-18幾乎相同的等溫線支持的最簡單解釋是,海藻糖間隔基而不是其碳氫化合物取代基主導界面填充。顯然,烷基從空氣/水界面投射到空氣中,對薄膜的幾何要求幾乎沒有貢獻。盡管如此,鏈間的分子間范德華力穩定了薄膜。這是因為崩塌壓力(即單分子膜最終“斷裂”時的高壓)與鏈長正相關,例如A-18(53 mN/m)和A-12(47 mN/m)。
圖1。使用表面天平獲得A-12和A-18的壓力-面積等溫線,顯示出在23°C下約120?2的提升面積。圖為每種表面活性劑10次掃描的平均值。
當固體A-10和A-12雙子座浸入水中,并在3-4小時后通過光學顯微鏡進行檢查時,囊泡結構從表面發出(圖2)。當1毫米A-10的乳白色懸浮液通過100納米聚碳酸酯過濾器多次擠出時,根據動態光散射,形成了直徑為100納米的囊泡群。另一方面,固體A-l4、A-16和A-18的水合作用在室溫下不會產生囊泡。A-10/A-12與其更高同系物之間的行為差異表明,相態在其中發揮了作用。因此,已知短鏈脂質在室溫下存在于流體“液晶”相中,而長鏈脂質更喜歡高度有序的“凝膠”相。36凝膠到液晶的轉化發生在轉變溫度Tm。在Tm上方,水可以進入“松散”液晶晶格的雙層中,從而在水合時形成囊泡和小管。即使在室溫下,A-18U(即9位順式不飽和的A-18)的水合作用也會產生大量的囊泡和小管(圖2),正如人們從一種Tm無疑遠低于室溫的化合物中所預期的那樣。

圖2。A-10(左上)、A-12(右上)和A-18U(下)在23°C下水合3-4小時后形成的囊泡和管狀結構的相襯顯微照片。在45°C下培養的A-14和A-16樣品中觀察到類似結構。
差示掃描量熱法掃描是通過在量熱計中以10°C/h加熱2 mg/mL gemini懸浮液獲得的,其吸熱峰分別對應于a-14、a-16和a-18的Tm值33、48和61°C(圖3)。只有A-l8有一個尖峰,表明在緊密組織的分子陣列中協同熔化。當固體A-14和A-16在45°C下水合時,觀察到與圖2中類似的光學顯微鏡圖像,而不是在室溫下缺乏雙層形成。
圖3。通過差示掃描量熱法(DSC)在10°C/h的加熱速率下獲得的雙子座A-14、A-16和A-18的2 mg/mL懸浮液的吸熱峰。
迄今為止的總結是:A系列海藻糖雙子,對于10或更長的鏈不溶于水,形成單分子膜,其界面區域主要由糖間隔基控制。分子間的鏈/鏈相互作用穩定了薄膜。A-8在水中形成小膠束,而水合后,更高的同系物聚集成泡狀和管狀結構,在光學顯微鏡下可見。水化性質與凝膠到液晶的轉變相一致,事實上,轉變溫度可以通過量熱法確定。因此,海藻糖雙子的行為與磷脂和合成雙鏈表面活性劑的行為相似。17,37就好像海藻糖不是雙子座的間隔物,而是一個特別大但傳統的頭群。
值得注意的是,我們的雙子座研究利用了許多技術,包括合成、薄膜研究、光散射、顯微鏡、量熱法,以及(我們很快就會看到)張量法、電導法和分子力學。在膠體化學中,一種平衡的觀點不能僅僅通過一種方法來實現,而只能通過多種方法之間的一致性來實現。
B系列海藻糖雙子座
接下來,我們提出了在海藻糖衍生物上放置陽離子基團以改善其水溶性的想法。必須承認,我們對更易管理的水溶性化合物的前景感到一定程度的高興。B系列就這樣出現了。然而,我們立即面臨新的問題。雖然B-12和B-14是作為純化合物獲得的,但B-16和B-18并非如此。后兩種Gemini的產率較低,提供了令人滿意的光譜數據,但它們的元素分析偏離了理論1-2%(這使我們懷疑存在無機雜質)。無論如何,由于B-16和B-18不符合我們的高純度標準,我們在注意力上輕視了它們,而偏愛它們的矮表親。
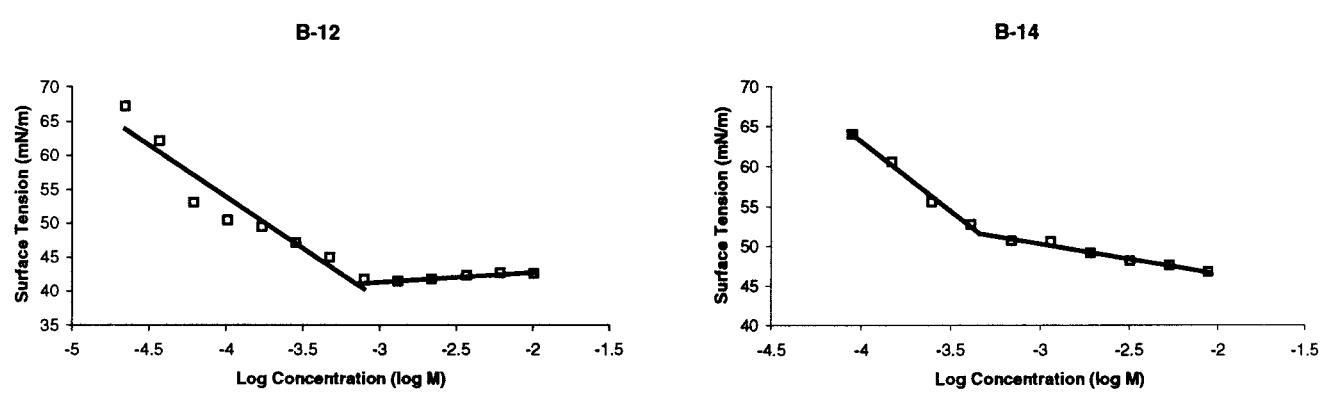
B-12和B-14確實是水溶性化合物,在臨界膠束濃度(CMC)以上形成膠束,動態光散射顯示顆粒大小小于5nm。CMC值是通過表面張力-濃度曲線(圖4)和電導率-濃度曲線(圖5)中的斷裂來確定的。38表1給出了結果數據(以及兩種常規表面活性劑的數據,用于比較)。如圖所示,B-12的CMC值通過張力測量法和電導測量法(這兩種方法都是可重復的)得出的結果不一致。這種差異至少部分可以追溯到B-12表面張力的時間依賴性。因此,在10分鐘的過程中,B-12水溶液的表面壓力增加了10 mN/m,之后趨于穩定。這種動態表面張力過程(之前已經用雙子座表面活性劑觀察到)13,15,39可能與雙子座表面活性劑在空氣/水界面組織方面的困難有關。為了解決這個問題,圖4中的B-12溶液在表面張力測量之前老化20分鐘,從而減少了系統尚未平衡的可能性。盡管采取了這種預防措施,但我們無法確定依賴時間的界面重組是否不會影響B-12圖,并導致基于張量和電導的數據之間的差異。當然,后者來源于不受界面事件影響的大塊特性,因此更可靠。有趣的是,B-14沒有表現出隨時間變化的表面張力,兩種方法確定的CMC值是合理一致的。也許更長的鏈既增強了對空氣/水界面的親和力,也增強了從溶液中吸收界面的動力學。
圖4。室溫下測定B-12和B-14臨界膠束濃度的張力測定圖。B-14混合后立即進行測量,而B-12樣品老化20分鐘。
圖5。圖中給出了B-12和B-14臨界膠束濃度,該濃度由電導-濃度曲線中的斷裂點確定。每個點代表23°C下的單個電極讀數。
表1包含一些顯著的比較。從電導數據來看,將B系列中的12個碳鏈延長至14個碳鏈,可使CMC降低約4倍(對鏈長的敏感性略低于傳統表面活性劑)。B-12的CMC比單鏈陽離子表面活性劑十二烷基三甲基氯化銨(DTAC)的CMC小一個數量級。再一次,雙子座更容易自我組裝的傾向得到了肯定。1,39由于B-12的CMC僅為無糖雙子座12-2-12的3倍(即C12H25N+(Me)2C2H4N+-(Me)2C12H25,2Br-),40考慮到其多羥基,糖對膠束化的抑制程度相對較小。膠束表面的分子間氫鍵41似乎彌補了單體親水性的增強。
分子模擬
一個核心問題仍然有待解決:為什么A系列雙子座與10個或更多碳形成囊泡,而B系列雙子座更喜歡膠束狀態?為了正確地面對這個問題,有必要尋求分子建模的幫助。因此,我們可以評估形態是否有構象根。
計算首先將海藻糖插入宏模型程序42,并對結構進行琥珀色能量最小化。從使用琥珀色*力場的25000個構象搜索中,我們選擇了能量最低的構象,該構象恰好與報告的X射線結構重疊。43,44接下來,該結構中的6-和6′-羥基被乙酰氨基取代。在模擬的水環境中,用AMBER*再次進行了25000次構象搜索。然后乙酰基被十二烷基取代,然后對生成的a-12雙子座進行了另一次搜索。結果表明,整個構象由酰胺羰基和相鄰葡萄糖環的2-羥基之間的兩個分子內氫鍵控制。氫鍵導致兩條全反式鏈彼此擺動約95°。A-12的固態紅外光譜證實了這種相互作用,該光譜顯示1646 cm-1處有羰基帶,而Hecameg的羰基帶為1700 cm-1,單體葡萄糖類似物的羰基帶為1698 cm-1。25由于這種構象會不切實際地排除分子內疏水締合,而且在任何情況下,羰基氫鍵位點的溶劑可能會淹沒在水中,我們故意不允許-CdO氫鍵,并重新計算。通過這種方式,我們得到了圖6。可以看到,一條鏈上大約有八個碳與其伙伴鏈的碳并排排列。N/N距離僅為7.4?,整體分子形狀為“管狀”。用另一種方式說,糖的頭基延伸的距離不比兩條鏈的寬度大多少,就像人們預期的一種易于堆積成雙層的化合物那樣。45因此,正如前面從實驗數據得出的結論,海藻糖更像是一個統一的頭基,而不是一個可以有效隔離鏈的長間隔基。
圖6。A-12最低能量構象的宏觀模型快照,顯示了雙層形成兩親分子的管狀結構特征。箭頭表示酰胺氮(N-to-N距離)7.4?)。
B系列雙子座的情況則截然不同(圖7)。N/N距離現在為9.3?,導致B-12分子呈圓錐形而非管狀。人們認為,當頭基的面積超過鏈的面積時,就不利于雙層的形成,膠束化是自組裝的主要方式,這一點在這里很明顯。45因此,與a系列相比,B系列的膠束化是構象效應的直接結果,構象效應產生了更大的頭基單元。B系列中陽離子頭基之間的靜電排斥也可能起作用。由于膠束不如雙層膜緊密,B系列化合物的陽離子頭基之間的排斥力有利于膠束化。然而,靜電不可能是全部,因為雙鏈陽離子,如二十二烷基二甲基溴化銨,自組裝成雙層膜沒有問題。17
結論
合成了一系列帶有雙糖(海藻糖)間隔基的雙子表面活性劑,使6-和6′-羥基被長鏈酰胺(A系列)或長鏈季銨鹽(B系列)取代。兩個系列的膠體行為不同。A系列雙子座不溶于水,在水中水合或擠壓時形成泡狀結構。通過動態光散射、顯微鏡、量熱法和分子模擬對這些結構進行了表征。此外,化合物以單層形式沉積在水性亞相上,并用表面天平進行檢查。系列B雙子座是水溶性的,除了進行分子模擬外,還進行了張力測定和電導測定。實驗數據和理論分析一致地定義了新表面活性劑假定的不同形態。由此揭示了形態和結構之間的相關性。
實驗段
一般方法。所有試劑均從Aldrich購買。溶劑在4?分子篩上干燥。在Whatman正相硅膠板上進行TLC,并通過UV或碘可視化觀察。熔點用Thomas Hoover毛細管熔點儀測定,未經校正。在Varian INOVA 300或400分光光度計上記錄1H NMR和13C NMR光譜。質譜數據來自埃默里大學質譜中心;為此,我們承認使用了NIH和NSF提供的共享儀器。元素分析由佐治亞州諾克羅斯的大西洋顯微實驗室進行。
將六鄰乙酰基-6,6′-二鄰甲苯對磺酰-6,6′-二脫氧-r,r-DTR-海藻糖2.28二水合物(10.0 g,26 mmol,52 mmol當量)溶解于140 mL吡啶中。攪拌時緩慢添加25.1 g(130 mmol)對甲苯磺酰氯,溶液顏色從石灰綠變為淡黃色;熱量散發出來。反應在35分鐘內完成,混合物用140毫升醋酸酐淬火。攪拌一夜后,將所得深色溶液倒在約1.5升冰水上。收集沉淀并從甲醇中再結晶三次,得到3.2 g(14%)的2,為白色固體,mp 162-164°C;點燃。28兆帕170-172攝氏度。
1H NMR(300MHz,CDCl3;C2表示C2和C2′等)δ7.73(d,J)8.1,arom。H鄰位到C-SO2,4H),7.34(d,J)8.1 Hz,arom。H與C-CH3,4H正交,5.41(t,J)9.6 Hz,C3,2H),4.92(m,6H),4.10(m,6H),2.44(s,Me of Tos,6H),2.07(s,C2 Ac,6H),2.00(s,C3 Ac 6H),1.98(s,C4 Ac,6H)。13C NMR(CDCl3,75MHz)δ170.09、169.71、145.48、132.56、130.04、128.21、92.96、69.95、69.34、68.71、68.31、67.71、21.83、20.74。FAB-HRMS(M+Li)+:計算909.2133。發現:909.2144。肛門。C38H46O21S2的計算值:C 50.55;h5.14;S 7.10。發現:c50.69;h5.14;S 7.02。
將2,3,4,2′,3′,4′-六氧乙酰基-6,6′-二疊氮-6,6′-二脫氧-r,r-D-海藻糖,3.28加入14.9 g(16.5 mmol,33 mmol當量)二糖基海藻糖衍生物2和30 mL 1,3-二甲基-3,4,5,6-四氫-2-(1H)-嘧啶酮(DMPU)的溶液中,加入2.3 g(35.4 mmol)NaN3。將混合物在90°C的油浴中攪拌6 h。將褐紅色反應混合物用水淬火,以產生粘性橙色沉淀物。甲醇的兩次再結晶產生6.8g受保護的二氮基海藻糖3(64%),mp 115-117℃;點燃。28MP 114-116攝氏度。
1HNMR(CDCl3,300MHz):δ5.47(t,J)9.9Hz,C3,2H),5.32(d,J)3.6Hz,C1,2H),5.12-4.96(m,C2和C4,4H),4.11-4.06(m,C5,2H),3.40-3.33(m,C6,2H),3.19-3.14(m,C6,2H),2.12(s,C2 Ac,6H),2.06(s,C3 Ac,6H),2.03(s,C4,Ac,6H)。
肛門。計算:C24H32N6O15:C 44.72,H 5.00,N 13.04。發現:C 44.72,H 5.06,N 12.94。
將二嗪3轉化為二酰胺4a-g的Staudinger轉化的一般程序。通過注射器將適當的酸性氯化物注入3和CH2Cl2的攪拌溶液中。攪拌5分鐘后,添加溶解在CH2Cl2中的三苯基膦(PPh3),并在室溫下攪拌溶液2天。在最初幾分鐘內,觀察到氣泡從反應溶液中冒出(釋放N2)。正相薄層色譜(2:1乙酸乙酯:石油醚作為洗脫液)顯示反應完成,顯示形成了一個非常顯著的紫外可見斑點,Rf為0.3,對應于三苯基膦鹽副產物。用NaHCO3水溶液(10 g/200 mL)洗滌混合物,并在MgSO4上干燥有機溶液。去除溶劑,通過硅膠柱層析(2:1乙酸乙酯:石油醚)實現純化。
2,3,4,2′,3′,4′-六鄰乙酰基-6,6′-二十八胺基-6,6′-二脫氧-r,r-D-海藻糖,4a。按照上述一般程序,2.1 g(3.3 mmol,6.5 mmol當量)3,50 mL CH2Cl2和2.7 mL(9.8 mmol)辛酰氯,以及2.4 g(9.2 mmol)PPh3與15 mL CH2-Cl2反應。黑色固體被過濾,留下栗色溶液。洗滌和干燥后,對所得棕色糖漿進行色譜分析,得到2.2 g(80%)4a,白色固體,mp 70-72°C。
1H NMR(300 MHz,CDCl3):δ5.67(t,J)5.7 Hz,N上的H,2H),5.46(t,J)9.9 Hz,C3,2H),5.30(d,J)3.6 Hz,C1,2H),4.93-4.84(m,C2和C4,4H),3.83(m,C5,2H),3.58-3。52(dd,J)12.6,6赫茲,C6,2H),3.33-3.24(m,C6,2H)2.21-2.01(m,R CH2,4H),2.07(s,C3 Ac,6H),2.07(s,C4 Ac,6H),2.02(s,C2 Ac,6H),1.62-1.60(m,R CH2,4H),1.28(m,烷基鏈,16H),0.86(t,J)6赫茲,CH3,6H)。
13C NMR(75 MHz,CDCl3):δ173.25、170.24、169.93、169.85、91.87、70.41、69.87、69.46、69.23、38.98、36.86、31.99、29.57、29.29、25.77、22.92、21.00、20.9.
FAB-LRMS(M+Li)+:851.8
肛門。C40H64N2O17的計算結果:C 56.86,H 7.63,N 3.32。發現:c56.81,h7.71,n3.15。
2,3,4,2′,3′,4′-六鄰乙酰基-6,6′-二十二酰胺-6,6′-二脫氧-r,r-D-海藻糖,4b。使用2.1 g(3.3 mmol,6.5 mmol當量)3、50 mL CH2Cl2、1.9 mL(9.0 mmol)癸酰氯和2.2 g(8.4 mmol)PPh3在10 mL CH2-Cl2中的溶液進行反應。通過硅膠柱層析純化,得到0.86 g(37%)4b,mp 62-66°C。
4.46(t,J)3.57-3.52(dd,J)3.3-3.6、10.10-3.6、10.8赫茲、10.8赫茲、C6、6、6、2、2H、6、6、6、6、6、6、6、6、3、3.57-3.52(dd、J)3.6、3.6、10.8、10.8赫茲、6、6、6、6、6、6、6、6、6、6、6、6、6、6、6、6、6、6、6、6、6、6、6、6、6、6、6、6、6、6、6、6、6、6、6、6、6、6、3、3、3)、3.30-3-3.30-3-3-3.26、3-3.30-3.26、3.26、3.30-3-3.26(3.26、3、3、3、(m,CH2,4H),1.29-1.25(m,烷基鏈,24小時),0.87(t,J)6.8赫茲,CH3,6小時)。
13C NMR(100 MHz,CDCl3):δ173.45、170.43、170.11、170.04、91.89、70.39、69.84、69.44、69.21、38.90、36.77、32.06、29.67、29.54、29.48、25.287、22.87、01.0.。
FAB-HRMS(M+Li)+:計算907.4991。發現:907.4974。
肛門。C48H80N2O17的計算值:C 58.65,H 8.05,N 3.11。發現:C58。52,H7.93,N3.05。
2,3,4,2′,3′,4′-六鄰乙酰基-6,6′-二脫氧卡那酰胺-6,6′-二脫氧,r-D-海藻糖,4c。將3(2.0 g,3.2 mmol,6.4 mmol當量)、50 mL CH2Cl2、2.2 mL(9.8 mmol)月桂酰氯和2.20 g(8.4 mmol)PPh3與10 mL CH2Cl2反應。橙黃糖漿的硅膠層析,然后從己烷中進行重結晶(以去除1H NMR檢測到的PPh3鹽雜質),得到1.08 g(36%)純4c,mp 64-68°C。
4.47(t,J)12.9,6.3(dd,J)12.9,6.3赫茲,6.3赫茲,C66,2H),3.33-3.26(m,C6,2H),3.33-3.26(m,C6,2H),3.33-3.26-3.26(m,C6,6,26(m,6,6,2H),3.26(m,6,6,6,2H),2),2,2,2,2.2-2-2-2-2-2.2-2-2-2.1(m,2-2-2-1(m,R,CH2,R,CH2,CH2,2,2),2-2-2-2-1(m,R,2,CH2,2,CH2,2,2,2,2,2,2,2-2,2,2,2,2-2-2(m,CH2,2,2,2 CH2,4H),1.25(m,烷基鏈,32H),0.88(t,J)6.9 Hz,CH3,6H)。13C NMR(100 MHz,CDCl3):δ173.45、170.42、170.11、170.03、91.89、70.38、69.84、69.43、69.21、38.90、36.77、32.11、29.82、29.71、29.54、25.67、22.89、20.88、20.80、14.33。FAB-HRMS(M+Li)+:計算964.5695。發現:964.5668。肛門。C48H80N2O17+1/2 mol H2O的計算:C 59.67,H 8.45,N 2.90。發現:C 59.33,H 8.23,N 2.81。2,3,4,2′,3′,4′-六鄰乙酰基-6,6′-二乙酰氨基-6,6′-二脫氧,r-D-海藻糖,4d。3(2.1 g,3.2 mmol,6.4 mmol當量)、50 mL CH2Cl2、2.4 mL肉豆蔻酰氯(9.0 mmol)和2.3 g PPh3(8.8 mmol)在10 mL CH2Cl2中按照一般程序反應。通過柱層析純化淡黃色糖漿,得到0.9g(27%)4d,mp 56-60°C。1H NMR(400MHz,CDCl3):δ5.71(t,J)6Hz,N上H,2H),5.46(t,J)10Hz,C3,2H),5.30(d,J)4Hz,C1,2H),4.92-4.84-3.81(m,C5,2H),3.54-3.52(m,C6,2H),3.30-3.26(m,C6,2H),2.20-CH2,4H,2.07(s,C3 Ac,6H),2.07(s,C4 Ac,6H),2.02(s,C2 Ac,6H)1.59(m,CH2,4H),1.29-1.24(m,烷基鏈,40H),0.87(t,J)6.4赫茲,CH3,6H)。13C NMR(100 MHz,CDCl3):δ173.52、170.43、170.13、170.06、91.89、70.38、69.84、69.42、69.21、38.89、36.77、32.12、29.86、29.73、29.56、25.68、22.89、20.88、20.79、14.33。FAB-HRMS(M+Li)+:計算1019.6243。發現:1019.6274。肛門。C52H88N2O17的計算值:C 61.64,H 8.75,N 2.76。發現:C 61.69,H 8.86,N 2.64。2,3,4,2′,3′,4′-六鄰乙酰基-6,6′-二十六烷酰胺-6,6′-二脫氧,r-D-海藻糖,4e。用2.1 g(3.2 mmol,6.4 mmol當量)3,50 mL CH2Cl2,2.7 mL(9.0 mmol)棕櫚酰氯和2.4 g(9.1 mmol)PPh3在10 mL CH2Cl2中進行反應。米白色粘性固體的柱層析提供2.9 g(73%)4e作為白色結晶固體,mp 54-57°C。1H NMR(400 MHz,CDCl3):5.68(t,J)6 Hz,N上H,2H,5.46(t,J)9.6 Hz,C3,2H,5.30(d,J)3.6 Hz,C1,2H),4.92-4.85-3.80(m,C5,2H),3.57-3.52(m,C6,2H),3.31-3.26(m,C6),2.20-2.10(m,R CH2,4H),2.07(s,C3 Ac,6H),2.06(s,C4 Ac,6H),2.01(s,C2 Ac,6H)1.59(m,R CH2,4H),1.29-1.24(m,烷基鏈,48H),0.87(t,J)6.8 Hz,CH3,6H)。13C NMR(100 MHz,CDCl3):δ173.48、170.43、170.11、170.04、91.89、70.38、69.84、69.42、69.21、38.90、36.78、32.12、29.90、29.73、29.57、25.68、22.90、20.88、20.80、14.33。FAB-HRMS(M+Li)+:計算1075.6869。發現:1075.6865。(M+H)+:1069.6787的計算。發現:1069.6749肛門。C56H92N2O17的計算:C 62.90,H 9.05,N 2.62。發現:C 62.80,H 9.01,N 2.50。2,3,4,2′,3′,4′-六鄰乙酰基-6,6′-二十八酰胺-6,6′-二脫氧,r-D-海藻糖,4f。按照一般程序,2.2 g(3.4 mmol,6.8 mmol當量)3,50 mL CH2Cl2,1.9 mL(9.0 mmol)硬脂酰氯和2.29 g(8.7 mmol)PPh3與10 mL CH2Cl2反應。4f(1.9 g,50%),mp 53-56°C,通過粘性淡橙色固體的硅膠色譜分離。1HNMR(400MHz,CDCl3):δ5.70(t,J)6Hz,N上的H,2H),5.45(t,J)9.9Hz,C3,2H,5.29(d,J)3.6Hz,C1,2H,4.92-4.86(m,C2和C4,4H),3.82(m,C5,2H),3.60-3.50(m,C6,2H),3.33-3.29(m,C6,2H),2.18-2.16(m,R,CH2,4H),2.06(s,Ac,6H,Ac,2,Ac,Ac,2C,2,C4,6H),2,C4,6H,1.28-1.24(m,烷基鏈,56H),0.86(t,J)6.4赫茲,CH3,6H)。13C核磁共振(100MHz,CDCl3):173.43、170.41、170.09、170.02、91.87、70.37、69.83、69.42、69.21、38.89、36。76,32.12,29.89,29.73,29.56,25.67,22.88,20.87,20.79,14.33.FAB-HRMS(M+Li)+:計算1131.7495。發現:1131.7443。肛門。C60H104N2O17+1 mol H2O的計算:C 63.02,H 9.34,N 2.45。發現:C 63.03,H 9.21,N 2.50。2,3,4,2′,3′,4′-六鄰乙酰基-6,6′-二-(Z)-十八烷基-9-烯酰胺基-6,6′-二脫氧-r,r-D-海藻糖,4g。將3(2.0 g,3.1 mmol,6.2 mmol當量)、50 mL CH2Cl2、2.98 mL(9.0 mmol)油酰氯和2.2 g(0.4 mmol)PPh3與10 mL CH2Cl2反應。通過硅膠柱層析純化得到0.8 g(23%)4g,呈吸濕性、粘性固體,mp 50-56°C。1H NMR(300 MHz,CDCl3):5.66(t,J)5.6 Hz,N上H,2H,5.48(t,J)10 Hz C3,2H,5.36-5.34(m,CdC,4H),5.32(d,J)3.6 Hz,C1,2H),4.94-4.86(m,C2和C4,4H),3.86-3.82(m,C5,2H),3.58-3.54(m,C6),3.33-3.26(m,C6,2H),2.22-2.20(m,R CH2,4H),2.09(s,C3 Ac,6H),2.08(s,C4 Ac,6H),2.03(s,C2 Ac,6H),2.01(m,CH2 R到CdC,8H),1.63(m,CH2,4H),1.27(m,烷基鏈,40H),0.89(t,J)6.4 Hz,CH3,6H)。FAB-HRMS(M+Li)+:計算1127.7182。發現:1127.7137。肛門。C60H100N2O17+1/2 mol H2O的計算:C 63.75,H 9.01,N 2.48。發現:C 63.55,H 8.93,N 2.44。澤姆彭條件下脫乙酰化的一般程序。25,46在室溫下,將完全保護的表面活性劑在50 mL甲醇和2 mL 0.57 M NaOMe/MeOH溶液中攪拌過夜。添加約1.5 g洗滌過的(丙酮和甲醇)Dowex MR-3混床離子交換樹脂,并攪拌混合物30分鐘,或直到pH值達到7。過濾中和后的溶液,在減壓下去除溶劑,并在真空中干燥所得固體。6,6′-雙十八胺-6,6′-二脫氧-r,r-D-海藻糖,A-8。如上所述,對4a(1.5 g)進行脫乙酰化,得到1.0 g(95%)的A-8,mp 100-104°C 1H NMR(300 MHZ,CD3OD):δ5.03(d,J)3.3 Hz,C1,2H),3.85(m,2H),3.74(t,J)9.3 Hz,2H),3.45(m,6H),3.12(t,J)9.3 Hz,2H),2.20(t,J)7.5 Hz,R CH2,4H),1.59(m,CH2,4H),1.30(t,J)烷基鏈(6H,6H)。13C NMR(75MHz,CD3OD):δ177.23,95.68,74.28,73.48,73.26,72.22,41.44,37.18,33.05,30.51,30.32,27.29,23.87,14.60。FAB-HRMS(M+H)+:計算593.3661。發現:593.3661。肛門。C28H52N2O11的計算值:C 56.74,H 8.84,N 4.73。發現:c56.58,h8.73,n4.69。6,6′-二十二酰胺-6,6′-二脫氧-r,r-D-海藻糖,A-10。4b(0.8g)脫乙酰化以產生0.6g(100%)A-10作為結晶固體,mp 125-128°C.1H NMR(400MHz,CD3OD):δ5.02(d,J)4Hz,C1,2H,3.86-3.83(m,2H),3.73(t,J)8.8Hz,2H),3.45-3.44(m,6H),3.11(t,J)8 Hz,2H),2.20(t,J)6.8Hz,R CH2,4H),1.59(m,CH2,4H),1.45-3.44(m,6H),3.45-3.44(t,6H),3.18(t,6H),248Hz,6H)烷基鏈,CH3,6H)。13C核磁共振(100MHz,CD3OD):δ177.23,95.69,74.30,73.49,73.28,72.23,37.19,33.22,30.78,30.66,30.55,27.30,23.91,14.62。FAB-HRMS(M+Li)+:計算655.4357。發現:655.4350。肛門。C32H60N2O11+1/2 mol H2O的計算值:C 58.43,H 9.35,N 4.26。發現:C 58.66,H 9.20,N 4.09。6,6′-雙脫氧氨基-6,6′-雙脫氧-r,r-D-海藻糖,A-12。4c在澤姆彭條件下脫乙酰化得到0.63克(79%)二氨基海藻糖衍生物A-12,mp 168-172℃。1H NMR(400 MHz,CD3OD):δ5.03(d,J)3.3 Hz,C1,2H),3.86-3.84(m,2H),3.74(t,J)9.2 Hz,2H),3.45-3.42(m,6H),3.11(t,J)10 Hz,2H),2.19(t,J)7.6 Hz,R CH2,4H),1.59(m,CH2,4H),1.28(m,烷基鏈,32H),0.88(t,J)6.4 Hz,CH3,6H)。13C核磁共振(100MHz,CD3OD):δ177.20,95.66,74.29,73.48,73.27,72.21,41.45,37.18,33.25,30.96,30.92,30.81,30.66,30.56,27.29,23.91,14.63。FAB-HRMS(M+Li)+:計算711.4983。發現:711.4952。肛門。C36H68N2O11的計算值:C 61.34,H 9.72,N 3.97。發現:C61.21,H9.67,N3.90。6,6′-二乙酰氨基-6,6′-二脫氧-r,r-D-海藻糖,A-14。將0.9 g 4d脫乙酰化,然后在真空中干燥,得到0.6 g(88%)的A-14,mp 174-179℃。1H NMR(400 MHz,CD3OD):δ5.05(d,J)3.6 Hz,C1,2H,3.86-3.83(m,2H),3.73(t,J)9.2 Hz,2H,3.45-3.41(m,6H),3.11(t,J)9.2 Hz,2H),2.19(t,J)7.2 Hz,R CH2,4H),1.58(m,4H),1-烷基鏈,0.88(t,J)6.8 Hz,CH3,6H)。13C核磁共振(100MHz,CD3OD):δ177.22,95.66,74.30,73.49,73.29,72.22,41.46,37.20,33.26,30.97,30.83,30.67,30.57,27.31,23.92,14.63。FAB-HRMS(M+Li)+:計算767.5609。發現:767.5609。肛門。C40H72N2O11的計算:C 63.13,H 10.07,N 3.68。發現:C 63.00,H 10.06,N 3.55。6,6′-二十六烷酰胺-6,6′-二脫氧-r,r-D-海藻糖,A-16。4e(2.9 g)在Ze'mpen條件下脫保護,以提供1.8 g(86%)結晶和吸濕性A-16,mp 189-190°C。1H NMR(400 MHz,CD3OD):δ5.02(d,J)3.6 Hz,C1,2H),3.85-3.83(m,2H),3.74(t,J)9.2 Hz,2H),3.45-3.41(m,6H),3.11(t,J)9.2 Hz,2H),2.19(t,J)7.6 Hz,4H),1.58(m,4H),1.29-1.22(m,烷基鏈,48小時),0.88(t,J)6.4赫茲,CH3,6小時)。13C-NMR(100mhz,CD3OD):δ177.18,95.64,74.30,73.48,73.28,7221,41.45,37.21,33.26,31.00,30.84,30.67,30.57,27.31,23.92,14.64.FAB-HRMS(M+Li)+:計算823.6235。發現:823.6263。肛門。計算:C44H76N2O11+1/2 mol H2O:C 63.97,H10。37,N 3.39。發現:C64.13,H10.32,N3.30。6,6′-二十八酰胺-6,6′-二脫氧-r,r-D-海藻糖,A-18。當按照所述方案脫乙酰1.9 g 4f時,觀察到脫保護表面活性劑以細白色固體形式從溶液中沉淀。真空干燥收集的白色固體,發現1.0g(68%)的A-18是一種精細的白色吸濕固體,熔點192-196℃。1H NMR:(400MHz,1:1Cd3OD:CDCl3,CHD2OD峰用作參考):δ5.17(d,J)4Hz,C1,2H),3.98(m,2H),3.90(t,J)9.2Hz,2H),3.70-3.61(m,4H),3.53-3.48(m,2H),3.29(t,J)9.2,2H),2.36(t,J)7.6Hz,R CH2,4H),1.77-1.73(m,CH2,4H),1.45-1.41(m,烷基鏈,56H),1.03(t,J)6.4,CH3,6H)。13C NMR(100 MHz,1:1 CD3OD:CDCl3,CDCl3峰用作參考):δ176.74,95.06,73.51,72.76,72.45,71.45,40.96,36.93,32.66,30.42,30.27,30.08,26.69,23.38,14.49。FAB-HRMS(M+Li)+:計算879.6861。發現:879.6832。肛門。C48H92N2O11+1/2 mol H2O的計算:C 65.35,H 10.62,N 3.18。發現:C 65.25,10.40,3.18。6,6′-二-(Z)-十八碳-9-烯酰胺-6,6′-二脫氧-r,r-D-海藻糖,A-18U。0.8克4g的0.8克的脫乙酰基0.8克的4g的脫乙酰乙酰化的0.8克(100%100%)的4g-18U,mp 154-158℃1HNMR(400兆赫,CD3OD)1HNMR(400兆赫,CD3OD)1HNMR(400兆赫,CD3OD):δ5.32(t,J)5.32(t,J)5.2赫茲,5.2赫茲,4H,4H,5.2,5.2赫茲,4H,5.2,4H,5.2,5.2,5.2,5.2,5.02(d,5.02(d,3.02(d,J,J)5.0(d,J)5.8(d,J)5.8)5.2)5.5.2.2.2,4.2,4.2,4赫茲,4赫茲,4赫茲,4赫茲,4赫茲,4,4,40H),0.88(t,J)6.4 Hz,CH3,6H)。13C NMR(100 MHz,CD3OD):δ177.18、131.04、130.96、95.68、74.31、73.49、73.29、72.22、41.47、37.19、33.25、31.02、30.80、30.64、30.56、30.43、28.31、27.31、23.92、14.64。FAB-HRMS(M+Li)+:計算875.6548。發現:875.6555。肛門。C48H88N2O11+1/2 mol H2O的計算:C 65.65,H 10.21,N 3.19。發現:C65.36,H9.98,N3.16。6,6′-二疊氮-6,6′-二脫氧-r,r-D-海藻糖,5.28六鄰乙酰化二疊氮-海藻糖3(2.8 g,4.3 mmol),在澤姆彭條件下脫乙酰化,得到1.6 g(94%)脫乙酰基二疊氮5,mp 200-204℃(含dec);點燃。28MP 209-211°C晶圓廠級輕稀土金屬(M+Li)+:399.32;(M+2Li-H)+:405.33;(M+3Li-2H)+:411.35。將6,6′-二氨基-6,6′-二脫氧-r,r-D-海藻糖(二HCl鹽),6.47脫乙酰二嗪5(6.7 g,17.0 mmol,34 mmol當量)放入120 mL二氧六環和24 mL甲醇的溶液中。添加PPh3(36.1 g,137.8 mmol),并在N2下攪拌溶液一小時。引入NH4OH(31 mL,30%水溶液),并使混合物在N2下攪拌過夜。通過旋轉蒸發從白色固體懸浮液中去除溶劑。在真空中干燥5小時后,用150 mL毫Q水(18 M)研磨固體??cm阻力),并通過小心添加0.1 M HCl將濾液調節至pH 3。過濾殘留的PPh3和Ph3PO,并用Milli-Q水研磨。用甲苯洗滌水濾液,然后冷凍干燥,得到6.5 g白色固體,在200°C下分解。如作者所述,試圖從MeOH中再結晶47在我們手中并沒有得到純物質。我們發現一些所需的二胺鹽被甲醇濾液洗掉了。1H NMR僅顯示二氨基海藻糖鹽酸鹽6的峰。因此,假設雜質是無機鹽,我們選擇使用粗質子化二胺,無需進一步純化。1HNMR(400MHz,CD3OD):δ5.3(d,J)3.6Hz,C1,2H),4.08(t,J)9.2Hz,2H,3.90(t,J)9.2Hz,2H,3.77-3.72(m,J)3.6,2H,3.51-3.41(m,4H),3.38-3.20(m,2H)。FAB-HRMS(M-HCl-Cl)+:計算341.1560。發現:341.1573。合成海藻糖雙子B-12和B-14的一般程序。將分子篩(4?)粉碎,用甲醇洗滌,然后在110°C烘箱中干燥過夜。向裝有6個和粉碎分子篩的干燥燒瓶中添加甲醇和適當的醛。通過注射器將吡啶硼烷絡合物注入燒瓶中,并在N2下攪拌該混合物過夜。反應檢查包括用10毫升6 N HCl攪拌溶液一小時,用1 M NaOH將pH值調節到14,并用乙醚萃取混合物。從合并的有機相中去除乙醚并在真空中干燥過夜后,所得橙色殘渣用甲醇研磨,以分離任何篩子顆粒。MeOH的旋轉蒸發留下了一種玻璃狀材料,在K2CO3為堿、MeOH為溶劑的情況下與MeI進行季銨化。將混合物攪拌一夜,用隔膜蓋和針插入通風孔。通過干燥混合物分離出的白色固體溶解在Milli-Q純化水中(18M??cm抗性),并用CHCl3提取。從組合CHCl3相旋轉蒸發溶劑,然后從丙酮結晶。過濾混合物得到白色固體,隨后在MeOH中用Dowex(Cl-型)離子交換樹脂攪拌過夜。同時,通過將丙酮濾液通過離子交換柱收集額外產物;適當的部分用樹脂攪拌一夜,以確保完全的離子交換。在用脫色木炭處理后,將含有樹脂的混合物過濾、干燥,然后在丙酮中加熱。雙生二銨以白色結晶固體的形式通過過濾收集。6,6′-N,N′-二十二烷基二氨基-6,6′-二脫氧-r,r-D-海藻糖,7a。按照上述一般程序,反應0.43 g粉碎的4?分子篩、40 mL甲醇、2.25 mL(10.19 mmol)十二醛、2.04 g粗二胺二鹽酸鹽6和0.80 mL(7.92 mmol)吡啶硼烷絡合物。檢查后,分離出2.06 g粗7a。1hnmr(CD3OD,400mhz):δ5.06(d,J)3.6hz,2H),3.89-3.88(m,2H),3.52-3.46(m,2H),3.10(t,J)9.6hz,2H),2.97-2.93(m,2H),2.68-2.59(m,4H),1.50(t,J)6.4hz,CH2,4H),1.27(m,52H),0.87(t,J)6.4hz,CH3,6H)。FAB-HRMS(M+Li)+:計算683.5398。發現:683.5377。(M+H)+:677.5316的計算。發現:677.5300。6,6′-N,N′-tetramethyldododecyldiamonium-6,6′-dideoxy-r,r-Dtrehalose dichloride,B-12。將上述產物與0.91 g(6.58 mmol)K2CO3和1.5 mL(24.1 mmol)MeI進行季銨化,然后采用上述離子交換和木炭方案,得到1.29 g(32%來自粗二胺二鹽酸鹽6)B-12,mp>220°C(含dec)。1hnmr(400mhz,CD3OD):δ5.11(d,J)3.9hz,2H),4.49-4.30(m,2H),3.82-3.69(m,4H),3.56-3.52(m,2H),3.49-3.41(m,4H),3.31(m,rch2,4H),3.16-3.10(m,12h),1.79(m,CH2,4H),1.37-1.30(m,36H),0.90(t,J)6hz,CH3,6H)。13C核磁共振(100MHz,CD3OD):δ99.05,74.74,72.95,72.69,69.02,68.82,66.75,66.49,54.97,52.67,33.22,30.91,30.84,30.75,30.63,30.50,27.60,23.88,23.69,14.61。FAB-HRMS(M-Cl)+:計算769.5709。發現:769.5709。肛門。C40H82Cl2N2O9的計算:C 59.61,H 10.25,Cl 8.80,N 3.48。發現:C 59.35,H 10.31,Cl 8.83,N 3.51。6,6′-N,N′-四甲基二乙基二銨-6,6′-二脫氧-r,r-D-二氯化海藻糖,B-14。將粗品6(2.07 g)、0.44 g粉碎分子篩、25 mL甲醇、2.48 g(11.68 mmol)溶于25 mL CHCl3的十四醛和1 mL(9.9 mmol)吡啶硼烷絡合物在室溫下攪拌過夜,然后在回流下攪拌30 min。加工后,2.92 g粗品7b,用1.21 g(8.75 mmol)K2CO3和2.1 mL(33.73 mmol)MeI進行季銨化。如上所述進行萃取、研磨和離子交換程序后,將0.6 g(粗品6中的14%)的B-14分離為白色固體,mp>200°C(含dec)。1hnmr(400mhz,CD3OD):δ5.07(d,J)3.6hz,2H),4.51(t,低分辨,2H),3.86-3.72(m,4H),3.57-3.54(m,2H),3.42(m,4H),3.18(16H)1.80(t,低分辨,CH2,4H),1.38-1.30(m,44H),0.91(t,J)6.4hz,CH3,6H)。13C NMR(100 MHz,CD3OD)δ98.94,74.58,72.89,72.66,68.80,66.68,66.47,52.70,33.20,30.91,30.84,30.74,30.61,30.50,27.58,23.86,23.69,14.62。FAB-HRMS(M-Cl)+:計算825.6335。發現:825.6310。肛門。C44H90Cl2N2O9的計算:C 61.30,H 10.52,Cl 8.22,N 3.25。發現:C61.06,H10.45,Cl 8.17,N3.23。中央軍委。(A)根據du Nuoy環法,使用21型Fisher表面張力儀測量表面張力。手動升高和降低6 cm Pt/Ir環,并在每種濃度的分析后,通過交替浸入0.1 M HCl和Milli-Q純化水(18 M??然后在本生燈上進行火焰干燥。使用在Pyrex結晶皿中用Milli-Q水制備的溶液(25 mL)。每種濃度下B-14的報告值是混合后立即進行的10次單獨測量的平均值。由于B-12的動態表面張力特性,每隔20分鐘讀取一次讀數(在老化期間,環浸入溶液中);報告的值來自每個濃度下兩次測量的平均值。隨時間變化的表面張力表現為在每種濃度下的10次測量中不斷增加,隨后通過使用μ槽裝置進行的動態表面張力實驗進行量化,如下所述。(B)使用YSI 35型數字電導儀在23°C下進行電導實驗。在25毫升玻璃培養管中制備每種gemini在Milli-Q純化水中的溶液。在讀數穩定幾分鐘后進行測量,從最低濃度的溶液開始,以避免在樣品之間清洗電極。當一種表面活性劑的所有溶液分析完成后,用溶劑清洗電極,清洗順序為:丙酮、甲醇和Milli-Q水。差示掃描量熱法(DSC)。使用哈特科學差示掃描量熱儀測量合成表面活性劑的轉變溫度。用溶劑清洗四個金屬安瓿或細胞,清洗順序為:Milli-Q水、丙酮、乙醇和甲醇;由于其他溶劑干擾了橡膠墊圈,因此僅使用Milli-Q水和乙醇清洗蓋子。安瓿和瓶蓋在110°C烘箱中干燥至少4小時,并在使用前立即冷卻至室溫。在水浴中交替加熱含有2 mg表面活性劑/mL Milli-Q水的混合物,并通過漩渦(科學產品高級混合器)混合,直到形成不透明懸浮液。在使用漢密爾頓玻璃注射器將500μL等分試樣注入三個樣品池之前,搖動混合物;校準池中使用500μL Milli-Q水作為標準。以10°C/h的速率加熱量熱計,在向上掃描和向下掃描之前分別保持30和10分鐘。將數據轉換為熱容(μJ/°C),并使用Microcal Origin軟件繪制。為確保結果的準確性,對每種表面活性劑進行了三次測量。標準品二棕櫚酰磷脂酰膽堿(DPPC)的41.1°C轉變溫度與報告的41.2°C值相對應,48進一步驗證了我們儀器的準確性。動態光散射。使用Coulter N4 Plus顆粒表征儀測定表面活性劑聚集體的大小。反應杯用乙醇和Milli-Q水沖洗,并用壓縮空氣干燥。使用帶有Whatman一次性過濾器(200或450 nm)的注射器將含有溶液的三毫升樣品注入反應杯中,所述溶液的濃度高于估計濃度或表觀濃度(分別為A-8和B系列),或通過稀釋500μL擠出的1 mM囊泡溶液(A-10)。在20°C下,以90°的散射角進行三次單獨測量,預標定時間為2分鐘。a-8和a-10使用2分鐘的運行時間,而B系列陽離子表面活性劑分析30分鐘。選擇與強度模式相反的統計重量,以更準確地描述特定規模的總體。電影平衡。使用位于水平大理石臺面上的Kibronμ槽進行壓力面積等溫線測量。每次測量前,用乙醇和Milli-Q水徹底清潔槽和特氟隆屏障,并用壓縮空氣干燥。用乙醇清洗導電針,并在本生燈上進行火焰干燥。通過漢密爾頓玻璃注射器將每種表面活性劑的10微升1 mM儲備溶液和CHCl3/MeOH(體積比為9/1)的混合物小心地涂抹在槽中的一層Milli-Q水的表面。在覆蓋放置10分鐘以允許溶劑蒸發后,屏障以4?2/鏈/分鐘的穩定速率自動壓縮,并由儀器記錄獲得的壓力/面積數據。每次運行后,對槽和附件進行大力清潔,并對每種表面活性劑重復該程序10次。通過將導電針插入Pyrex培養皿中新攪拌的溶液中,μ槽裝置還用于量化B-12顯示的動態表面張力行為;因此,監測了表面壓力隨時間的變化,并用儀器記錄了測量結果。通過擠壓制備大囊泡。使用乙醇和Milli-Q水徹底清潔Avestin Lipsofast擠出設備。將A-10(500μL,1 mM)的水混合物在5 mL圓底燒瓶中磁攪拌3 h,得到不透明混合物,該混合物通過100 nm聚碳酸酯膜擠出19次。通過水合作用制備巨大囊泡。17約1 mg表面活性劑沉積在1.5 cm(內徑)橡膠O形環孔內,并與硼硅酸鹽玻璃顯微鏡載玻片粘合。用0.5毫升Milli-Q水對樣品進行水合,在頂部放置一個干凈的蓋玻片,并將多余的水排出,以提供緊密的密封。為了防止細菌污染,水中加入了微量疊氮化鈉。允許A-10、A-12和A-18U樣品在室溫下放置,而A-14和A-16樣品在45°C下使用安裝在尼康隔膜TMD上的定制塑料孵化殼內的尼康孵化器孵化。分子模擬。使用Macromodel38軟件在硅圖形計算機上進行了模擬。在選擇沒有此類參數的琥珀*(AMBER*)之前,對海藻糖能量最小化中的低能參數數量進行了可用力場評估。在進行的25000次構象搜索中,將海藻糖分子上的環碳標記為手性中心,選擇水作為溶劑。在搜索過程中,對工作集結構中的所有原子進行了比較,并選擇了扭轉鍵。搜索中使用的結構是前一次搜索中能量最低的構象。因此,通過琥珀*(AMBER*)的25000構象搜索,海藻糖結構的最低能量構象用乙酰氨基或三甲基銨基對6-和6′-羥基進行了修正。然后,乙酰基被十二烷基取代,三甲基銨基被二甲基十二烷基銨部分取代。琥珀色*使這些結構的能量最小化,導致鏈的全反式取向。隨后,對能量最低的結構進行另一次25000構象搜索,除每條鏈上的第一個亞甲基外,所有亞甲基均未選擇扭轉鍵,然后搜索選擇扭轉鍵。對于A-12分子,C2-和C2′-羥基被轉化為甲氧基,從而不允許與相鄰葡萄糖環上酰胺的羰基發生氫鍵相互作用。最后,在能量最低的構象上進行能量最小化,甲氧基回復為羥基,得到如圖6所示的構象。對于B-12二銨雙子,對三種結構進行構象搜索,其鏈相對于糖部分的初始位置不同;圖7所示的相同的最低能量構象導致了這三種情況。
致謝
我們感謝Jim Snyder博士和Dennis Liotta博士慷慨地為我們提供了數小時的硅圖形工作站使用時間。我們感謝Jason Keiper博士在光學顯微鏡方面的幫助,以及Ben Cornett在宏模型建模方面的有益建議。這項工作得到了陸軍研究辦公室的支持。





