合作客戶/
拜耳公司 |
同濟大學 |
聯合大學 |
美國保潔 |
美國強生 |
瑞士羅氏 |
相關新聞Info
推薦新聞Info
-
> 不同礦漿濃度、粒度、伴生礦物、捕收劑和起泡劑對礦漿表面張力的影響(三)
> 不同礦漿濃度、粒度、伴生礦物、捕收劑和起泡劑對礦漿表面張力的影響(二)
> 不同礦漿濃度、粒度、伴生礦物、捕收劑和起泡劑對礦漿表面張力的影響(一)
> 長慶油田隴東地區的CQZP-1助排劑表/界面張力測量及現場應用(三)
> 長慶油田隴東地區的CQZP-1助排劑表/界面張力測量及現場應用(二)
> 長慶油田隴東地區的CQZP-1助排劑表/界面張力測量及現場應用(一)
> 液膜斷裂點與電壓最大值在表面張力測量中的對比研究(二)
> 液膜斷裂點與電壓最大值在表面張力測量中的對比研究(一)
> ?表面張力與表面張力系數測量:概念、方法與科學意義
> 微重力下二極對非均勻旋轉磁場控制半浮區液橋表面張力對流的數值研究(下)
α-環糊精對非離子表面活性劑和兩性離子表面活性劑混合體系的界面及自組裝性質——結果和討論
來源:上海謂載 瀏覽 1885 次 發布時間:2021-12-22
結果和討論
界面行為、臨界膠束濃度和表面過剩
圖1恒定2 mM濃度下Mega-10和DPS的界面張力(γ)變化與α-CD濃度的關系圖
圖1顯示了2 mM Mega-10和DPS溶液的界面張力(γ)隨不同α-CD濃度的變化。兩種表面活性劑溶液的界面張力值均隨α-CD濃度的增加而增加。這種行為表明α-CD與Mega-10和DPS形成包合物,這些包合物沒有任何表面活性。在沒有α-CD的情況下,不同濃度的α-CD的界面張力對應于γ值,這證實了CD本身不具有表面活性(數據未顯示)。圖2顯示了Mega-10和DPS(αDPS=0.8)混合體系在不同α-CD濃度下的總表面活性劑濃度的γvs.log曲線。每條曲線顯示與cmc對應的斷點。在圖2中,由于α-CD中加入了表面活性劑單體,通過降低本體中的游離表面活性劑單體濃度延遲了膠束形成過程,因此每條曲線也移向更高的表面活性劑濃度。此外,cmc以上表面活性劑的γ值與α-CD濃度無關(圖2)。這表明表面活性劑與α-CD形成的包合物不參與界面吸附。在α-DPS=0.0、0.2、0.4、0.6和1.0時,在不存在和存在2-8mmα-CD濃度的情況下,獲得了類似的曲線圖(數據未顯示)。Mega-10和DPS的α-CD濃度依賴性cmc值如圖3所示。圖3清楚地顯示了cmc和α-CD濃度之間的線性關系。這一行為是表面活性劑和α-CDs之間形成包合物的另一個跡象,導致表觀cmc值增加。純Mega-10(5.75 mM)和DPS(2.57 mM)測定的cmc值與報告的文獻值一致[24–26]。
圖2界面張力γ與對數Cs/mol dm的曲線圖?不同α-CD濃度下Mega-10+DPS混合系統的α-DPS的3=0.80
圖3 Mega-10和DPS cmc依賴于α-CD濃度的曲線圖
根據γ與log Cs/mol dm的曲線圖?3,我們評估了純表面活性劑和混合表面活性劑在空氣-水界面上的界面吸附參數,在沒有和存在不同的α-CD濃度的情況下。表面活性劑在cmc下的表面過量值Γmax表示表面活性劑在空氣-水界面上的吸附量。稀溶液的表面過剩值可根據吉布斯方程確定,如下[27]:

式中,γ、C、R、T和P為界面張力、表面活性劑濃度、理想氣體常數、溫度和壓力。純系統和混合系統的Γmax值如圖4所示。純Mega-10和DPS分子的Γmax值與文獻報道的值一致[26,28]。圖4顯示Mega-10的Γmax值略高于DPS。這一結果表明,與DPS相比,Mega-10分子在空氣-水界面以更緊湊的形式排列。兩種表面活性劑的Γmax值隨著α-CD量的增加而減小,表明表面活性劑物種從界面上的解吸(圖4)。這種行為是表面活性劑與α-CD之間存在相互作用的另一個證據。對于Mega-10和DPS在不同DPS摩爾分數(αDPS)下的二元混合物,Γmax值隨著DPS量的增加而減小,表明DPS在界面上吸附后形成混合單層。
圖4 Mega-10+DPS混合體系在水中和不同α-CD濃度下的表面過剩(Γmax)與α-DPS的曲線圖
根據cmc值,我們評估了純表面活性劑系統和混合表面活性劑系統在不存在和存在α-CD的情況下的膠束化標準自由能(數據未顯示)[27],隨后,通過膠束轉移標準自由能評估添加劑對膠束化的影響(?GM,tr 0),從水相到含有α-CD的水相[19]。這些值如圖5所示,在不同α-CD濃度下,在整個DPS摩爾分數范圍內為正值,表明α-CD的存在使膠束形成不利。此外,這些值隨著α-CD濃度的增加而線性增加,在高α-CD濃度下斜率更高,表明混合膠束的形成延遲。

圖5:試驗結果的曲線圖?不同濃度α-CD中Mega-10+DPS的GM、tro和αDPS。實線表示最佳線性擬合
關聯常數(Ka)
為了進一步探索α-CD-Mega-10和α-CD-DPS之間的相互作用,我們根據γ與表面活性劑濃度曲線的冰前濃度范圍,假設化學計量比為1:1,評估了表面活性劑/α-CD絡合物的締合常數(Ka)。表面活性劑-鎘絡合物(S/CD)的整體表達式如下[13]:
其中,CD/S、[S]f、[CD]f、CD0和S0分別為包合物、游離表面活性劑、游離CD、總CD和總表面活性劑濃度。通過組合和重新排列等式。9-11,我們得到了以下關系式:
公式12的重新排列給出了以下等式:

根據γ圖確定的游離表面活性劑濃度(例如,見圖2)。在存在CD的情況下,前冰層區域中特定γ值下的總單體表面活性劑濃度(S0)的增加是表面活性劑結合到CD的量的度量,即S0-[S]f=CD。從公式13可以看出,S0-[S]f應與S0/[S]f或S0/[S]f-1具有斜率的線性關系?1/Ka。我們已獲得等式13的線性圖(未顯示數據)。表1列出了Mega-10+α-CD和DPS+α-CD包合物在不同α-CD下的Ka值。就兩個客體分子與CD的締合總結合能而言,締合常數僅偏離約12%,對應的結合能差異僅為1.4%,因此可以認為是相當可比的。從Ka值來看,DPS分子與α-CD的相互作用似乎比Mega-10更強烈,因為烷基鏈稍長,極性頭基團體積較?。ㄒ苑乐箍臻g位阻)。由于疏水相互作用(與Mega-10相比,DPS中的冷凍水外殼更大)和范德華相互作用的增加,較長的碳鏈將提供更大的驅動力。此外,親水性頭部基團的結構可通過與環糊精邊緣的醇的氫鍵作用,具有額外的絡合物穩定性。表面活性劑-鎘絡合物的結構還通過2D NMR進行了研究,并在手稿的后半部分進行了介紹。Satake等人測定了α-CD和十二烷基磺酸鈉、十二烷基氯化銨、十二烷基三甲基氯化銨、十二烷基氯化吡啶和十二烷基苯磺酸鈉包合物2140 M的Ka值?12270米?12480米?12800米?15730米?1.分別為[14]。參考文獻[7]給出了綁定常數評估的詳細概述。
表1不同α-CD濃度下α-CD與DPS和Mega-10的1:1包合物的締合常數(Ka)值

核磁共振
為了證實DPS-α-CD復合物的Ka值與Mega-10-α-CD復合物的Ka值具有可比性,我們進行了NMR測量,其中我們用α-CD滴定了表面活性劑的冰前濃度。圖6顯示了通過NMR用α-CD滴定表面活性劑的數據。將NMR滴定數據擬合至等式6,得出結合常數Ka為286±16 M?1表示Mega-10和α-CD之間的相互作用,Ka為729±8 M?1用于DPS與α-CD之間的相互作用。這里,就兩個客體分子與鎘的締合總結合能而言,締合常數僅偏離約14%,因此可以認為是相當可比的,并且與從界面研究中獲得的締合常數很好地對應。然而,核磁共振滴定得到的絕對Ka值與界面張力數據得到的值不同。上述差異也已在前面描述過[14,29,30]。
圖6核磁共振滴定數據。繪制了鎘表面活性劑復合物的濃度與鎘濃度的關系圖。表面活性劑濃度保持恒定在1mm。虛線表示最佳擬合。填充圓和開放圓分別表示DPS-α-CD系統和Mega-10-α-CD系統的數據
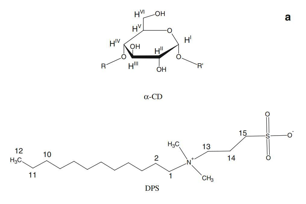
圖7a顯示了α-CD、DPS和Mega-10的示意圖,以簡化表面活性劑原子與CD原子的相互作用。2DROESY數據證明表面活性劑的烷基鏈包含在α-環糊精的疏水腔中。光譜如圖7b和c所示??梢钥吹奖砻婊钚詣┕舱衽c位于環糊精空腔內的HIII、HV和HVI共振的交叉峰。未觀察到分子(HI、HII和HIV)外部與環糊精原子的相互作用。對于這兩種表面活性劑,與HIII和HV的相互作用似乎覆蓋了從末端甲基到H3的整個烷基鏈。這意味著幾個不同的復雜幾何形狀和穿透深度之間的快速交換。在鎘原子和親水性頭基之間沒有觀察到相互作用。
圖7α-CD(所示為一個吡喃葡萄糖苷單元)、DPS和Mega-10的示意圖。表面活性劑和α-CD的2D-ROESY光譜的關注區域。阿拉伯數字表示表面活性劑原子,而羅馬數字表示CD原子。b為DPS-α-CD系統。Mega-10-α-CD系統的c
混合膠束的形成及相互作用參數
圖8顯示了Mega-10和DPS二元混合物在純水和不同α-CD濃度(2–8 mM)下的混合cmc值。從圖8可以清楚地看出,α-CD中的混合cmc值高于純水中的值,并且這些值隨著α-CD濃度的增加而增加。為了評估混合膠束的行為,即混合膠束是否表現出理想或非理想行為,我們使用了偽相分離模型[31]。簡言之,根據該模型,膠束被認為是宏觀相,與含有相應單體的溶液相平衡。對于表面活性劑的理想二元混合物,cmc由等式[31]關聯
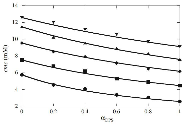
圖8 Mega-10+DPS混合系統的混合臨界膠束濃度(cmc)與αDPS的曲線圖。填充圓、正方形、菱形、三角形和反向三角形分別表示存在0(填充圓)、2(填充正方形)、4(填充菱形)、6(填充三角形)和8(填充反向三角形)mMα-CD時的實驗cmc。實線表示理想的cmc
由于二元混合物的組分在結構上彼此不同,因此由于頭部和尾部基團的不同,預計會出現非理想行為。在不存在和存在不同α-CD濃度的情況下,在整個混合范圍內,實驗cmc值接近理想cmc*值,表明混合膠束的形成在本質上接近理想(圖8)。α、β和γ-CDs與離子表面活性劑混合物的理想行為相似[19–21]。
這些結果已通過使用規則溶液理論得到進一步證實,該理論不僅表征了混合膠束中的相互作用參數bmic 12,而且還解釋了與理想的偏差[32]。X1是膠束中DPS的摩爾分數,可根據以下方程式迭代計算:

根據X1值,可通過以下方程式計算相互作用參數bmic 12:
bmic 12值表明兩種表面活性劑之間的相互作用程度,從而導致偏離理想行為。bmic 12的負值和正值分別表明混合膠束中兩種表面活性劑之間的吸引和排斥作用。對于理想混合,bmic 12值應接近于零。在2和8 mMα-CD下,為當前二元混合物計算的bmic 12值分別為0.32和0.21。這些值非常接近在水系統中評估的值0.23。參考文獻[22,23]列出了不同表面活性劑混合物相互作用參數的詳細概述。由于α-CD存在時bmic 12值沒有顯著變化,且這些值接近于零,表明混合膠束的形成在本質上接近理想。
圖9 Mega-10+DPS混合體系在水中和不同α-CD濃度下的膠束(X1)與α-DPS的曲線圖
根據方程式15,我們計算了在不存在和存在α-CD的情況下當前二元混合物的膠束組成(X1)。圖9顯示了混合膠束(X1)和體積摩爾分數(α1)中表面活性劑的組成。從圖9可以得出結論,在αDPS=0.2時,混合膠束中DPS的組成接近40%。存在α-CD時的X1值始終低于水的X1值。這種行為可能反映出α-CD通過降低其結合最強的表面活性劑的量來改變成分(見Ka值)。一般來說,CDs不與膠束相互作用,但CDs可能通過與溶液中的表面活性劑相互作用影響膠束的組成,從而改變膠束的平衡和組成。熒光各向異性為了研究混合膠束中兩種不同組分的行為,我們還使用RB作為熒光探針進行了偏振熒光測量。這種探針在膠束介質中已經得到了很好的表征[33]。探針熒光發射的去極化程度是其激發態壽命期間旋轉擴散的度量。熒光各向異性(r)通過Perrin方程與探針周圍的粘度相關,如下[34]:

其中r0是在沒有旋轉自由度的情況下獲得的發射各向異性的極限值,k是波爾茲曼常數,T是溫度,τ是熒光團激發態的平均壽命,V是探針的有效分子體積,h是探針周圍的粘度。從等式17可以看出,r值越高,剛性越高,反之亦然。
在這項工作中,我們研究了RB與表面活性劑-α-CD-水三元體系的詳細相互作用,以便系統地研究RB的極化行為。在進入膠束介質之前,我們排除了RB與水溶液和水溶液α-CD介質中前冰層表面活性劑濃度(1 mM)的結合行為。圖10顯示了在冰層前表面活性劑濃度下,Mega-10和DPS的RB各向異性行為。在水中和存在α-CD(8mm)的情況下,我們未觀察到表面活性劑RB的右旋值有任何顯著變化。從圖10獲得的結果意味著探針RB不與表面活性劑單體、環糊精和α-CD表面活性劑包合物結合。在這些初始測量之后,我們將我們的實驗方法擴展到膠束介質,以觀察RB的各向異性行為。圖11顯示了純表面活性劑以及Mega-10和DPS二元混合物(15mm)的α-CD(2-8mm)依賴性各向異性行為。從圖11可以得出一些有趣的結論。首先,圖11清楚地表明,在水介質中,純Mega-10的膠束比DPS的膠束具有更高的微粘度。這種行為可以用表面活性劑分子在膠束中的堆積排列來解釋,表明Mega-10膠束中的堆積比DPS膠束中的更緊密。對于二元混合物,r值隨著DPS(αDPS)摩爾分數的增加而減小,這表明DPS被誘導到混合膠束中產生的剛性結構較低(參見圖11中最左邊的圖例)。其次,在DPS的每摩爾分數下,r值隨α-CD濃度的增加而線性減小。盡管隨著α-CD濃度的增加,在αDPS=0.0時,r值的下降更為瞬時。我們注意到,r值的瞬時降低是由于膠束濃度的降低。為了證實這一結果,我們在20 mM濃度下對αDPS=0.0(即Mega-10)進行了各向異性測量,圖12中繪制了Mega-10的觀測r值,并與15 mM濃度下的αDPS=1.0(即DPS)進行了比較。正如我們所見,隨著α-CD濃度的增加,Mega-10(20 mM)的r值沒有瞬時下降,這表明圖11中r值的急劇下降是由于膠束濃度的降低。DelaCruz等人研究了RB衍生物與陰離子、陽離子和非離子表面活性劑的相互作用,并得出結論,RB衍生物的酯鏈的電荷和長度控制著與不同膠束系統的相互作用[35]。

圖10水和不同α-CD濃度下熒光各向異性r與前冰層表面活性劑濃度的曲線圖
圖11不同αDPS下熒光各向異性r與α-CD濃度的關系圖
圖12恒定表面活性劑濃度(Mega-10,20 mM和DPS,15 mM)下熒光各向異性r與α-CD濃度的關系圖





