合作客戶/
拜耳公司 |
同濟大學 |
聯合大學 |
美國保潔 |
美國強生 |
瑞士羅氏 |
相關新聞Info
-
> ?我第一次操作表面張力儀的心得體會
> 微凝膠顆粒在氣液界面處吸附動力學及動態方程研究——摘要、介紹、材料及方法
> 粉體材料潤濕接觸角測量方法應用于表面張力儀
> 不同質量濃度瀝青質溶液界面張力、界面剪切黏度及粒徑分布圖【上】
> 電場電壓對明膠液滴荷質比、表面張力的影響及預測模型構建(一)
> 什么叫界面?基于動態懸滴表征的界面性質精確測定方法
> SF作為天然表面活性劑制造納米器件,大大改善疏水表面的水潤濕性
> 鼠李糖脂生物表面活性劑在液-固界面上的潤濕改性微觀機制研究(一)
> 不同助劑及濃度對IDK120-025型和LU120-015型噴頭霧化效果的影響(三)
> 基于界面張力儀和電位儀分析SPF減水劑結構-性能關系(二)
推薦新聞Info
-
> 不同礦漿濃度、粒度、伴生礦物、捕收劑和起泡劑對礦漿表面張力的影響(三)
> 不同礦漿濃度、粒度、伴生礦物、捕收劑和起泡劑對礦漿表面張力的影響(二)
> 不同礦漿濃度、粒度、伴生礦物、捕收劑和起泡劑對礦漿表面張力的影響(一)
> 長慶油田隴東地區的CQZP-1助排劑表/界面張力測量及現場應用(三)
> 長慶油田隴東地區的CQZP-1助排劑表/界面張力測量及現場應用(二)
> 長慶油田隴東地區的CQZP-1助排劑表/界面張力測量及現場應用(一)
> 液膜斷裂點與電壓最大值在表面張力測量中的對比研究(二)
> 液膜斷裂點與電壓最大值在表面張力測量中的對比研究(一)
> ?表面張力與表面張力系數測量:概念、方法與科學意義
> 微重力下二極對非均勻旋轉磁場控制半浮區液橋表面張力對流的數值研究(下)
熱毛細效應引起的表面張力梯度導致傾斜壁面上液膜干斑的出現(一)
來源:化工進展 瀏覽 1085 次 發布時間:2025-06-05
摘要
重力驅動下的傾斜壁面液膜流動,即使初始液膜能夠完全鋪展在壁面上,但在加熱的作用下也可能會出現燒干現象,形成局部干斑,顯著降低傳熱效率并損害設備性能。研究液膜流動不穩定性與燒干機制對于優化降膜蒸發過程和換熱器設計至關重要。本文通過使用千分尺測量,研究了傾斜壁面在加熱和絕熱兩種情況下的液膜厚度,精確捕捉了液膜流動過程中干斑的形成與演變,并進行了臨界噴淋密度對流動不穩定性的探究,提出了能夠精確預測傾斜壁面上液膜“干斑”出現的三維模型,該模型同時考慮了液膜的熱毛細效應和蒸發作用。結果表明:在絕熱條件下,液膜厚度的變化率劃分為快速變化階段和平緩變化階段,液體的動力黏度和傾斜角度在快速變化階段起關鍵作用;臨界噴淋密度隨著傾斜角度的增加顯著升高,主要是重力和表面張力波動的共同作用導致了液膜流動不穩定性增強。在加熱條件下,通過實驗與模型分析,揭示了燒干機制的形成過程,重點闡明了熱毛細效應引起的表面張力梯度與蒸發效應共同作用,導致液膜在壁面下部局部破裂,進而形成干斑區域。本文的研究內容豐富了降膜蒸發過程中液膜的流動特性,為降膜式換熱器的設計提供了技術支撐。
液膜蒸發廣泛應用于各類工業生產中,例如海水淡化、工業設備的熱管理、微機電系統(MEMS)、能源生產與廢熱回收等。當液膜在重力作用下流經不同結構的壁面時,會受到不同力的作用:如重力、表面張力(加熱壁面上的液膜容易受到溫度引起的表面張力梯度影響,產生馬蘭戈尼效應,從而引發熱毛細不穩定性)或周圍氣流產生的剪切力。這些力都可能會導致液膜破裂,在對壁面進行加熱時,液膜破裂處就會形成“干斑”,造成壁面局部溫度急劇升高,出現整體傳熱惡化,甚至破壞固體壁面材料的性能,從而降低傳熱效率,這是限制液膜蒸發應用的主要因素之一。因此,如何預測和預防干斑區域的形成,受到了廣泛關注和討論。
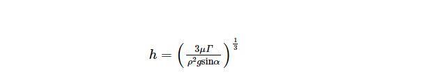
由于液膜流動的行為復雜多變,許多研究者從實驗測試和數值模擬兩方面進行了相關研究。二十世紀初,Nusselt通過將表面光滑平板上的流動假定為層流,在忽略空氣剪切力的情況下,對液膜流動進行了理論研究,提出了經典液膜厚度的計算方法[式(1)]。
(1)
式(1)將作為本文模型計算的迭代初值。之后,Kapitza首次對傾斜平板上流動液膜的流體動力學不穩定性進行了研究,對流動液膜的流動不穩定性和破裂有了初步的認識。隨著實驗方法和測量技術的不斷進步,研究人員通過更高效的實驗和模擬方法對流動液膜進行了深入和廣泛的研究,深化了對液膜流動模式、流動特性和蒸發等內在機制的理解,也為相關的工業應用提供了重要的科學依據。
液膜厚度是液膜流動特性的一個重要參數。測量液膜厚度的方法有很多,根據工作原理的不同,可以分為接觸式和非接觸式這兩種方法。非接觸法有激光干涉法、激光聚焦法、激光誘導熒光法、共聚焦色差傳感法、同時運用色差共聚焦成像技術和熒光強度法等;接觸法有電導探針法、光纖探針法、接觸式電容法。其中,共聚焦色差傳感法的原理是通過傳感器頭向被測物體發射多色光,觀察反射光。不同波長的光具有不同的焦點,利用這一特性,通過分析反射光的光譜,可以測量傳感器與物體之間的距離。但由于非接觸法的成本相對較高,在測量液膜厚度時更多采用的是電導探針法。采用該方法時,需要改變液體的鹽度來改變液體的電導率,操作復雜。本研究在此基礎上,利用攝像機(Pixelink)和千分尺(Sigmakoki,WGP-13R)相結合的方法來測量液膜厚度,研究傾斜壁面上的液膜厚度,這種方法不需要改變液體的電導率,操作更為簡便。
為確保平板上能夠形成穩定的流動液膜,不出現燒干現象,了解液膜破裂的機理是至關重要的。Hartley和Murgatroyd首先提出了兩種準則來預測干斑區域持續存在的臨界膜厚度和流量,一種是基于干斑上游滯止點處力平衡的力平衡準則;另一種是基于橫向無約束流的最小能量準則。Podgorski等基于表面張力與重力之間的平衡,提出了一個表達式來預測位于傾斜板上均勻液膜的穩定干斑區的拱形形狀,與實驗結果十分相似。隨后,Rio和Limat進行了類似的實驗,發現干斑形狀的演變與噴淋密度的增加或減少有關。
當重力驅動液膜流經正在加熱壁面時,液膜表面垂直方向的溫度梯度會增強馬蘭戈尼力,導致膜厚分布不均,可能會造成液膜破裂。一般認為液膜中的傳熱包括強制對流和自然對流,當流動液膜發生強制對流時,可能會出現干斑。出現干斑時,有效換熱面積的減小會導致換熱效果明顯惡化。一些研究通過計算不同熱流密度下的換熱系數來研究由部分干斑引起的換熱惡化。對于光滑水平圓管,He等提出了一個數學模型來解釋蒸發,以預測降膜蒸發中干斑的演變,但二維模型對干斑沿軸向的生長預測不足。在此基礎上,又提出了一個三維模型來預測水平圓管外液膜干斑的形成和演變,揭示了Re、入口溫度和管半徑對干斑演變的影響。對于傾斜平板,在局部加熱情況下剪切力會驅動液膜流動,當平板上某區域的薄膜厚度達到臨界最小值時,薄膜就會自發破裂,這與雷諾數和壁面的傾斜角度(重力)無關。Bender等在長波理論的框架下,假設薄膜厚度與薄膜形變的長度相比較小,從而推導出了薄膜厚度的演化方程,液膜流動在加熱壁面的情況下,即使沒有蒸發,也可能發生破裂,這種破裂的原因是壁面結構導致氣液界面溫度分布不均勻引起了馬蘭戈尼對流。
通過對現有文獻的分析發現,對水平圓管或傾斜平板上的降膜蒸發換熱和干斑現象進行研究時,都忽略了熱毛細和蒸發作用對液膜蒸發的影響。為了更深入地研究液膜在固體壁面上的流動與演變,豐富傾斜壁面上液膜干斑的形成機制,本研究通過實驗的方法研究了液膜流動特性,探究了不同物性和傾斜角度對液膜厚度的影響,臨界噴淋密度對流動不穩定性的影響,并建立了加熱條件下傾斜平板上液膜流動的三維數學模型,準確預測在熱毛細和蒸發作用下傾斜壁面上液膜干斑的出現,以及液膜流動實驗中干斑的出現和面積變化過程。
1模型計算
1.1數學模型
本文研究了在重力驅動下,液膜在傾斜壁面上均勻加熱的蒸發過程。在這一蒸發過程中,液膜的厚度和溫度分布可能存在不均勻性,進而導致液膜的破裂。Adesanya等采用了一個二維模型研究傾斜加熱基板上非牛頓液膜的流動,主要分析了重力和蒸發對液膜行為的影響。然而,在本研究中,進一步引入了熱毛細效應,并探討了其在液膜流動中的作用,從而為理解液膜的動態行為提供了全新的視角。圖1(a)展示了傾斜壁面上液膜流動的三維數學模型,傾斜壁面表面光滑并且在壁面底部提供均勻的熱流,熱量通過加熱基底傳遞到液膜。從圖中可以看出,液膜在流動過程中會受到重力、黏性力和熱毛細力[由氣液界面溫差(T1>T2)引起的表面張力差異]的作用,它們會影響液膜蒸發過程中氣液界面的不穩定性,并且隨著液膜蒸發,液膜厚度沿壁面長度L方向減小,可能會導致壁面出現干斑區域。除熱毛細效應外,氣液界面處還存在蒸發損失,在這兩種因素的共同作用下,可能導致液膜破裂。
圖1傾斜壁面上液膜流動模型
1.2基本假設
為增強數學模型的實用性,在構建傾斜加熱壁面上液膜數值模擬之前,提出以下基本假設。
(1)工作流體是不可壓縮牛頓流體。
(2)加熱傾斜壁面上的熱流是均勻的。
(3)液膜的流動狀態是層流,并且在初始時刻液膜表面是穩定的。
(4)蒸發質量通量Js看作常數。
(5)壁面具有足夠的潤濕性,即使在低噴淋密度下,液膜也能完全鋪展壁面。在干斑的演變過程中,假設接觸角保持不變,避免由于接觸線移動引起的復雜性。
1.3液膜厚度控制方程
微元質量守恒是指流體進出微元的凈質量等于微元的質量變化率,如圖1(b)所示。因此,描述傾斜壁面上液膜分布的控制方程為式(2)。
基于貼體(body-fitte)坐標建立N-S方程和能量方程,對其進行求解,得到了液膜沿x和z方向的速度分布。在z方向上的N-S方程中,由于傾斜壁面上的液膜厚度相比壁面長度非常小(h/L≤10-3),因此x和z方向的不可壓縮流體的N-S方程分別為式(3)、式(4)。
在x方向,無滑移假設和自由界面處剪切應力為零的邊界條件見式(5)、式(6)。
將式(5)和式(6)代入x方向的N-S方程,可以得到液膜沿傾斜壁面x方向的平均速度[式(7)]。
推導出的液膜厚度經典表達式見式(1)。
在z方向上,如圖1(c)所示,基于熱毛細應力與氣液界面的剪切應力的平衡,這里將氣液界面剪切應力等同于表面張力的變化。可以將式(4)與熱毛細效應結合起來,此時,邊界條件見式(8)、式(9)。
代入邊界條件,對z方向的N-S方程求解得到式(10)。
式(10)中表面張力溫度系數γ=dσ/dT,則z方向的平均速度計算方法見式(11)。
由于液膜厚度相比壁面長度非常小,因此只考慮y方向的熱傳導,忽略能量方程中的對流項,則得到式(12)。
導熱微分方程邊界條件見式(13)、式(14)。
因此,式(9)中的dT/dz項也可以寫為式(15)。
將上述結果代入式(11)得式(16)。
將式(7)和式(16)代入控制方程式(2),由于式(2)中(?h/?x)2和(?h/?z)2數量級太小因此忽略,簡化得式(17)。
為了計算方便,引入了單位時間內單位氣液界面上液膜蒸發的體積,即液膜的蒸發速率u=Js/ρ。將式(17)量綱為1化得式(18)。
量綱為1變量形式,如式(19)所示。
由Rowher的實驗得到蒸發質量通量Js計算方法[式(20)、式(21)]。
式中,V為氣流速度,取值為0~0.67m/s。
使用數值差分法離散控制式(18)得到差分表達式[式(22)],量綱為1的液膜厚度為Hi,j,k。沿長度L方向和寬度W方向的網格分別編號為i和j,時間編號為k,再推導出代數方程式(23),數值求解控制方程的詳細過程,如圖2所示,在Matlab編譯器中執行,給出了基本參數,包括幾何參數和操作條件。如果相對誤差
滿足計算精度,則輸出結果并保存。
圖2數值求解控制方程
a、b、c、d計算方法見式(24)。
迭代收斂的判據,如式(25)所示。





