合作客戶/
拜耳公司 |
同濟大學 |
聯合大學 |
美國保潔 |
美國強生 |
瑞士羅氏 |
相關新聞Info
-
> 拉脫法測量:不同性能磁性液體的磁表面張力變化規律與影響因素(二)
> 表面張力儀用于柔軟抗菌涂層面料研發
> ?氧化石墨烯基復合膜材料的制備方法、應用開發及前景
> 細胞膜表面張力調控方法與步驟
> 農藥助劑對70%吡蟲啉水分散粒劑在小麥葉片上附著性能的影響
> 一滴水緩慢落到非常光滑的平面上,接觸面積會有多大?
> 3種不同類型噴霧助劑對氟啶蟲胺腈藥液表面張力及在蘋果葉片潤濕持留性能測定(三)
> 烷基糖苷表面活性劑界面張力與潤濕性相關性研究(二)
> 誘導期測定法研究NaCl的添加對碳酸鋰固-液界面張力等成核動力學參數影響——實驗部分
> 不動桿菌菌株XH-2產生物表面活性劑發酵條件、性質、成分研究(三)
推薦新聞Info
-
> 不同礦漿濃度、粒度、伴生礦物、捕收劑和起泡劑對礦漿表面張力的影響(三)
> 不同礦漿濃度、粒度、伴生礦物、捕收劑和起泡劑對礦漿表面張力的影響(二)
> 不同礦漿濃度、粒度、伴生礦物、捕收劑和起泡劑對礦漿表面張力的影響(一)
> 長慶油田隴東地區的CQZP-1助排劑表/界面張力測量及現場應用(三)
> 長慶油田隴東地區的CQZP-1助排劑表/界面張力測量及現場應用(二)
> 長慶油田隴東地區的CQZP-1助排劑表/界面張力測量及現場應用(一)
> 液膜斷裂點與電壓最大值在表面張力測量中的對比研究(二)
> 液膜斷裂點與電壓最大值在表面張力測量中的對比研究(一)
> ?表面張力與表面張力系數測量:概念、方法與科學意義
> 微重力下二極對非均勻旋轉磁場控制半浮區液橋表面張力對流的數值研究(下)
基于黃芪膠、指甲花提取物制備納米天然表面活性劑的界面張力測量(二)
來源:petroleum期刊 油氣 瀏覽 1236 次 發布時間:2024-06-27
本研究研究了石墨烯、二氧化鈦(TiO2)和二氧化硅(SiO2)納米顆粒、TiO2和石墨烯的復合納米粒子以及指甲花提取物表面活性劑的納米復合物對降低油水界面張力的影響。研究人員使用溶膠-凝膠技術合成上述納米顆粒,并采用天然水性懸浮表面活性劑(黃芪膠提取物)對納米表面活性劑的穩定性進行了研究。通過電導率、濁度和界面張力實驗測定了指甲花提取物表面活性劑的CMC值。為了穩定重量百分比不同且納米顆粒類型也不同的納米表面活性劑,使用粒徑和zeta電位測量來確定黃芪膠表面活性劑各自的最佳濃度。最后,通過界面張力測量,使用穩定的納米表面活性劑來研究其對IFT的影響。
表1.指甲花和黃芪膠提取物的物性
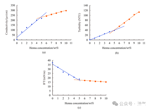
圖1.(a)電導率、(b)濁度和(c)界面張力隨指甲花溶液濃度的變化
表2.本研究中使用的納米表面活性劑的物性
圖2.IFT隨納米粒子濃度變化而變化。誤差條代表對每種納米表面活性劑進行的三種不同界面張力測量的標準偏差
圖3.不同表面活性劑在煤油中作為油相的界面張力:Seidlitzia Rosmarinus、桑葉、洋甘菊、雪松和納米流體、皂角苷(敘利亞棗樹)和指甲花。誤差線表示±5%的標準偏差
結論
由于全球能源需求迅速增長,且目前的EOR技術在最佳狀態下能夠將采收率提高到60%,因此工程師們也一直在尋找新方法增加油藏中圈閉油的產量。而這些新方法不僅要能提高原油采收率,而且必須具有環保性且經濟效益好,還要能使用于油田。天然表面活性劑和納米顆粒同時作為注入流體,可以最大程度上上滿足上述要求。納米流體驅的EOR工藝面臨許多挑戰和限制,包括納米顆粒在溶液中的穩定性、納米流體與地層巖石和儲層流體的相互作用、制備和注入納米流體的專用設備不足以及惡劣儲層條件下的應用等。解決以上問題可以使納米流體在提高EOR方面獲得重大進展。實驗證明,天然納米表面活性劑可以很好地替代工業表面活性劑和聚合物。本研究的主要結論如下:
1.界面張力測量顯示,將指甲花提取物添加到水中可以使油水之間的界面張力值從37mN/m降低到15.24mN/m。
2.在PUT化學實驗室采用溶膠-凝膠法合成了TiO2、SiO2以及TiO2與石墨烯納米粒子的納米復合物,XRD、FESEM、EDAX和FTIR測試結果證實這些合成方法確實可行。
3.本研究首次使用一種名為黃芪膠提取物的天然水性懸浮表面活性劑來穩定不同的納米流體,時間為24小時。通過粒度和zeta電位測試確定了該表面活性劑的最佳重量百分比。
4.界面張力測量表明,根據CMC值向指甲花提取物中添加納米顆粒(納米表面活性劑)對油和納米表面活性劑之間的界面張力值有輕微影響,在最佳狀態下,向指甲花提取液中添加1wt%的TiO2納米顆粒后,界面張力從18.43mN/m降低到14.57mN/m。
5.單獨的石墨烯納米顆粒對降低油水界面張力的影響可以忽略不計。加之其與TiO2納米顆粒(純TiO2納米顆粒)合成TiO2/石墨烯納米復合材料時,不利于發揮作用。因此,石墨烯納米顆粒對EOR來說在操作上和經濟上都不可行。
6.TiO2納米表面活性劑是降低油水界面張力第二好的天然表面活性劑,其效果與工業表面活性劑一樣突出。





